- Anasayfa
- Haberler
- Duyurular
- Bağlantılar
-
Milli Emlak İhaleleri
Milli Emlak İhaleleri
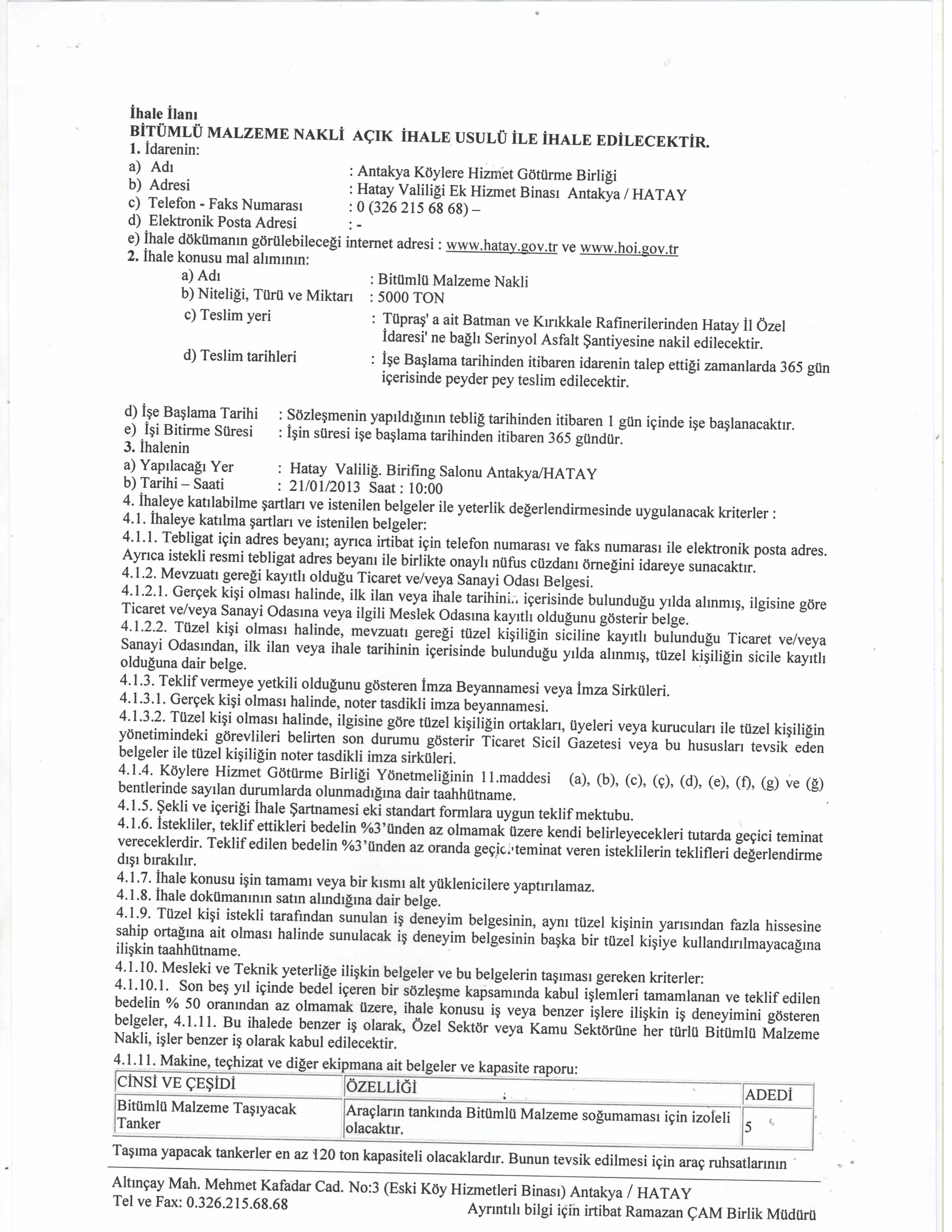
- 14 Ocak 2013
Bitümlü Malzeme Nakil İşi
Bitümlü Malzeme Nakil İşi


İlimiz Hakkında
Müdürlüğümüz
Şube Müdürlükleri
Milli Emlak Müdürlüğü
Kentsel Dönüşüm Müdürlüğü
Afet Koordinasyon ve İskan Şube Müdürlüğü
Bilgi Teknolojiler,İnsan Kyn. ve Dst.Hiz. Şube Müdürlüğü
ÇED İzin ve Denetim Şube Müdürlüğü
Çevre Yönetimi Şube Müdürlüğü
İmar ve Planlama Şube Müdürlüğü
Proje Şube Müdürlüğü
Tabiat Varlıklarını Koruma Şube Müdürlüğü
Yapım Şube Müdürlüğü
Yapı Denetimi Şube Müdürlüğü
Yapı Malzemeleri Şube Müdürlüğü
Yerel Yönetimler Şube Müdürlüğü
Kooperatifler Şube Müdürlüğü
Mevzuat
Sıfır Atık
Kentsel Dönüşüm
Projelerimiz
İhaleler
Yapı Müteahattliği
Kooperatifler ve Duyurular
Yatırım Programı
ÇED Uygulamaları
Mahalli Çevre Kurulu Kararları
Çevre Kanunu Uyarınca Verilecek İdari Para Cezaları
İzin ve Lisans İşlemleri
Laboratuvar, Ölçüm ve İzleme
Kamu Hizmet Standartları
Hizmetlerimiz
Formlar
Basında Müdürlüğümüz
Faydalı Bilgiler
ALO 181 ÇAĞRI MERKEZİ
Yardım Masası
Kalite Yönetimi
"Etik Değerlerimiz"
İç Kontrol
Adres